Поиск по сайту
Разделы
О Библиотеке
История
Администрация
Структура
Документы
Цифры
Подразделения
Научная библиотека
Абонементы
Зал интернет-ресурсов
Отделы
Электронные ресурсы
Электронный каталог (Временно недоступен)
Сводный электронный каталог библиотек вузов г. Оренбурга
Курс "История России"
Электронная библиотечная система
Полнотекстовая БД "Экология Оренбуржья"
Оренбуржье: события и факты
Проект ОЭБ «Оренбуржья»
Электронные копии договоров доступов к ЭБС
Договоры на доступ к ЭБС за 2024\2025 год
Договоры на доступ к ЭБС за 2023\2024 год
Архив договоров
Договоры на доступ к ЭБС за 2022\2023 год
Договоры на доступ к ЭБС за 2021\2022 год
Договоры на доступ к ЭБС за 2020\2021 год
Договоры на доступ к ЭБС за 2019\2020 год
Договоры на доступ к ЭБС за 2018\2019 год
Договоры на доступ к ЭБС за 2017\2018 год
Договоры на доступ к ЭБС за 2016\2017 год
Договоры на доступ к ЭБС за 2015\2016 год
Договоры на доступ к ЭБС за 2014\2015 год
Договоры на доступ к ЭБС за 2012 год
Экологическая страничка
Экокалендарь: 6 августа – Всемирный день борьбы за запрещение ядерного оружия
Экокалендарь: 22 апреля - Всемирный день Земли
Экологический календарь: 1 апреля – Международный день птиц
Экологический календарь: 22 марта - Всемирный день водных ресурсов
Экологический календарь: 14 марта - Международный день рек
Экологический календарь: 2 февраля - Всемирный день водно-болотных угодий
Экологический калейдоскоп в сентябре
Новые издания по вопросам экологии
Базы данных по экологии
Конференции
Периодические издания по экологии
Презентации
Библиографические пособия
Календарь памятных дат
Эконовости от ОГАУ
Виртуальные выставки
Экология
ВОДНЫЕ РЕСУРЫ: ОХРАНА И РАЦИОНАЛЬНОЕ ИСПОЛЬЗОВАНИЕ
«ЗДЕСЬ ДУШУ ИСЦЕЛЯТ»
ПО ЗАПОВЕДНЫМ ТРОПАМ…
Лесное дело: лесоводство и лесное хозяйство
День работников леса в чудесный день сентября!
Экологический калейдоскоп в июне
2017: Год экологии в России
Анонс книги С. Жданова «Записки фотоохотника. Звери»
Степной мир Евразии: исторические аспекты, проблемы и решения
Край Оренбургский: история, география, экология
Природное наследие Оренбуржья
"Этот страшный мирный атом"
Чернобыль: общая беда, горькая память...
Тоцкий ядерный взрыв
Вопросы лесного дела в трудах ученых ОГАУ и Оренбуржья
Экологические аспекты в научных исследованиях
Вода для жизни
Родник-источник жизни и здоровья
Лес - бесценный дар
Защитим природу-будем жить
"Экология и природопользование"
"Вопросы экологии в трудах сотрудников ОГАУ"
Знаменательные и памятные даты
2022 - Год культурного наследия народов России
2021-Год науки и технологии
2020-й – Год Памяти и славы
ВИРТУАЛЬНАЯ ВЫСТАВКА «ПИСАТЕЛЬ, ПОТРЯСАЮЩИЙ ДУШУ» (К ЮБИЛЕЮ Ф. М. ДОСТОЕВСКОГО).
200 ЛЕТ СО ДНЯ РОЖДЕНИЯ Ф. М. ДОСТОЕВСКОГО
190 ЛЕТ СО ДНЯ РОЖДЕНИЯ Н. С. ЛЕСКОВА
195 ЛЕТ СО ДНЯ РОЖДЕНИЯ М.Е. САЛТЫКОВА-ЩЕДРИНА
«Он был первым нашим университетом»: посвящается 310-летию со дня рождения М.В. Ломоносова
«Гениальный сын русского народа»: к 310-летию М.В. Ломоносова
«Я лиру посвятил народу своему…»: к 200-летию Н. А. Некрасова
«Поэт громадной мощи»: виртуальная выставка к 110-летию со дня рождения А. Т. Твардовского
«Рей Бредбери – тот, кто написал будущее»: 100-летию известного американского писателя-фантаста
«Горит его звезда»: 85 лет со дня рождения Н. М. Рубцова
«Знаток народной жизни»: посвящается 200-летию со дня рождения Н. А. Некрасова
«Последний романтик» мировой литературы: к 145-летию Джека Лондона
«Меня воспитали библиотеки»: к 100-летию Р. Брэдбери
Хиросима и Нагасаки. Трагедия 1945 года
«Другого века гражданин»: 225-летию А.С. Грибоедова
Александр Сергеевич Грибоедов: виртуальная выставка к 225-летию
Выставка-память: Сталинград – символ Победы и подвига: 75-летию Победы
75-летию Победы посвящается
Это модное слово «толерантность»
«Несу Родину в душе…»: 90-летию В.М. Шукшина
День народного единства в России
Праздник воскресения России
Виртуальная выставка: война 1914 года
2019 - Год театра в России
День науки 2019
Виртуальная выставка-портрет «Любил он берёзы босые и красные платья калин…»: жизнь и творчество Василия Шукшина
Юрий Бондарев - классик «лейтенантской прозы»
«…И сквозь века, и поколенья, он не устанет удивлять»: к 220-летию со дня рождения А.С. Пушкина
Поющий символ эпохи: Булату Окуджаве исполнилось бы 95 лет
«… И не забудь про меня»: виртуальная выставка к 95-летию Б. Окуджавы
Бескомпромиссное сердце Юлии Друниной: 95-летию поэтессы посвящается
Виртуальная выставка «Раз - наяву и сотни раз во сне…»: 95-летию со дня рождения Юлии Друниной
К ДНЮ ВЕЛИКОЙ ПОБЕДЫ! АНОНС КНИГИ
Читаем Гоголя и убеждаемся, что да, действительно, могуч язык!
Виртуальная выставка, посвящённая 210-летию Н.В. Гоголя
27 марта – Международный день театра
«Афганистан живёт в душе моей…»: виртуальная выставка, посвящённая 30-летию вывода войск из Афганистана
Последняя война великой страны: 30-летию вывода войск из Афганистана
Виртуальная выставка «Несломленный город»: 75-летию снятия блокады Ленинграда
Международный год Периодической таблицы
Великий певец великой России
100 лет ВЛКСМ: знаковое событие страны
Виртуальная выставка: «Великий мастер русского слова»
ГОД ДОБРОВОЛЬЦА И ВОЛОНТЕРА
Виртуальная выставка: «100 лет ленинскому комсомолу»
День работников сельского хозяйства - красивый праздник добрых и трудолюбивых людей!
«Импортозамещение в инновационной сфере АПК: к Дню работника сельского хозяйства и перерабатывающей промышленности»: виртуальная выставка
День российского флага
8 июля - день семьи
5-й международный круглый стол в формате телемоста, посвящённый дню Победы - «Женский лик Победы»
АНОНС СТАТЬИ «ОБОЗ» (ПОСВЯЩЕНО 75-ЛЕТИЮ ПРОРЫВА БЛОКАДЫ Г. ЛЕНИНГРАДА)
День Героев Отечества
ВИРТУАЛЬНАЯ ВЫСТАВКА «Как из копеек составляются рубли, так и из крупинок прочитанного составляется знание»
Виртуальная выставка «Искусство истории Николая Михайловича Карамзина»
«НЕ МЕШАЮ ДРУГИМ МЫСЛИТЬ ИНАЧЕ» ( 250-ЛЕТИЮ НИКОЛАЯ МИХАЙЛОВИЧА КАРАМЗИНА ПОСВЯЩАЕТСЯ)
Виртуальная выставка «Я на тихой лире буду петь любовь...»
История Госфильмфонда: тематический анонс
7 ноября 2017 года – 100 лет революции или День согласия и примирения - праздник нового мышления
Виртуальная выставка «100-летие революции 1917 года»
«Мужество останется в веках»: 22 июня 1941 год
День славянской письменности и культуры
ВОЙНА. ПОБЕДА. ПАМЯТЬ.
WEB-ДАЙДЖЕСТ к 215-тилетию со дня рождения В. И. ДАЛЯ и ко Дню словарей и энциклопедий – 22 ноября
Такая понятная «непонятная» молодёжь или Дню молодёжи посвящается
У ВОЙНЫ НЕ ЖЕНСКОЕ ЛИЦО
АНОНС КНИГИ
Мистическая сила мастера
Международный год зернобобовых
«ЗЕРНОБОБОВЫЕ КУЛЬТУРЫ»
WEB-ДАЙДЖЕСТ «ВОЛШЕБНЫЙ МИР КИНО»
ГОД РОССИЙСКОГО КИНО: ВИРТУАЛЬНАЯ ВЫСТАВКА
Весь мир в душе поэта заключен
Анна Ахматова – голос эпохи
Певец земли родной
Издания и публикации библиотеки ОГАУ на страницах периодики и сайта университета
"Жди меня и я вернусь..."
12 июня - День России
Мятежный гений вдохновенья
27 июня - День молодежи
Свеча памяти
Незабываемый сорок первый
Крым в Великой Отечественной войне
"По лезвию бритвы" посвящается творчеству В.С. Высоцкого
Комсомол в истории страны
Библиотека в мире информации
65-летию Победы в Великой Отечественной войне
Молодёжь выбирает будущее страны
«Русский Бисмарк»: к 150-летию со дня рождения П.А. Столыпина».
К 130-летию со дня рождения П.А. Флоренского
К Дню Науки
Библиотека университета на страницах печати
27 Мая - Общероссийский День библиотек!
Константин Симонов: «Голос своего поколения»
Краеведение
Край Оренбургский: даты, события, люди
«Его оружием было слово»: к 115-летию со дня рождения Мусы Джалиля
195 ЛЕТ СО ДНЯ РОЖДЕНИЯ А.Н. ПЛЕЩЕЕВА
ВИРТУАЛЬНАЯ КНИЖНАЯ ВЫСТАВКА ОРЕНБУРГСКОГО ПОЭТА ВАДИМА БАКУЛИНА
75-летию Победы и 115-летию со дня рождения Родимцева А.И. посвящается
«Я люблю тебя, Оренбургский мой край...!» (обзор материалов сайта к 85-летнему юбилею области)
#Оренбург – это мы
Оренбургский аграрный университет - сельскому хозяйству
История Оренбургского фольклора: 77-летию начала Великой Отечественной войны посвящается…
По следам телемоста 8 мая 2018 г. Женщины-ветераны Чкаловского СХИ
Виртуальная выставка «275 лет над Уралом-рекой»
История Оренбурга в памятниках и скульптурах
ОРЕНБУРГУ - 275!
Новое поступление в помощь учебному процессу
WEB-ДАЙДЖЕСТ к 215-тилетию со дня рождения В. И. ДАЛЯ и ко Дню словарей и энциклопедий – 22 ноября
Год российского кино: ВИРТУАЛЬНАЯ ВЫСТАВКА "Оренбургская целина Ивана Бровкина и не только..."
Тематический анонс «Целинная эпопея»
«Ой, ты, земля целинная…»: классика художественных фильмов
225-летию Сергея Тимофеевича Аксакова
225-летию С.Т. Аксакова "Я на тихой лире буду петь любовь..."
Праздник для всех!
БИБЛИОДЕНЬ 2017 в ОГАУ
Акция «Буккроссинг»
Жизнь библиотеки Оренбургского ГАУ на страницах СМИ
Коллектив библиотеки Оренбургского ГАУ накануне праздника
Ветераны библиотеки ОГАУ
День библиотек-2017: послесловие
«ЖЕНЩИНЫ ВОЙНЫ»: ОРЕНБУРГ ГОТОВИТСЯ КО ДНЮ ПОБЕДЫ-2017
Анонс книги «Герои Оренбуржья» Г.А.Мохунова
"Души прекрасные порывы" : творчество поэта Вадима Бакулина
Неделя культуры в Оренбуржье / библиотека ОГАУ
РОДНЫЕ НЕБЕСА СО ЗВЕЗДОЙ ПО ИМЕНИ ГАГАРИН!
Губернаторы Оренбургского края
25-ЛЕТИЮ ВОЗРОЖДЕНИЯ ОРЕНБУРГСКОГО КАЗАЧЕСТВА ПОСВЯЩАЕТСЯ
ГОРОДУ ОРЕНБУРГУ И 25-тилетию СО ДНЯ ВОЗРОЖДЕНИЯ ОРЕНБУРГСКОГО КАЗАЧЬЕГО ВОЙСКА ПОСВЯЩАЕТСЯ
Жемчужина земли оренбургской
"СТЕПНАЯ ПАЛЬМИРА"
60-летию освоения целины посвящается
Поле, русское поле...
2013 г. - Год охраны окружающей среды
В. И. Даль: «Человек делом славен…»
"Проведен сквозь огонь и воду"
220-летию со дня рождения Сергея Тимофеевича Аксакова
Оренбургский Ломоносов»: к 300 - летию со дня рождения П. И. Рычкова
Презентация четырехтомного издания «С. Т. Аксакову 220 ЛЕТ»
"Оренбург дал мне крылья..."
Ю. А. Гагарин: люди всегда будут помнить о нем...
"Солнце русской поэзии" Пушкин А. С. (1799-1837)
А. С. Пушкин в Оренбурге
Оренбуржье – родина пугачевского восстания
Юбилеи ученых университета
«СЛУЖЕНИЕ НАУКЕ»: К ЮБИЛЕЮ Н. П. ЧАСОВСКИХ
ЮБИЛЕЙ УЧЕНОГО: 85 ЛЕТ ПРОФЕССОРУ Б. П. ШЕВЧЕНКО
ЮБИЛЕЙ УЧЕНОГО: 80 ЛЕТ ПРОФЕССОРУ О. А. ЛЯПИНУ
ВИРТУАЛЬНАЯ ВЫСТАВКА «ТРУДЫ УЧЁНОГО-АГРОНОМА, КАРТОФЕЛЕВОДА Н. П. ЧАСОВСКИХ»
ЮБИЛЕЙ УЧЕНОГО: 85 ЛЕТ ПРОФЕССОРУ Н.А. СИВОЖЕЛЕЗОВОЙ
Ветераны Второй мировой. Библиотека поздравляет!
Юбилею Н. И. Вострикова посвящается
Виртуальная выставка: война 1914 года
Юрий Бондарев - классик «лейтенантской прозы»
«…И сквозь века, и поколенья, он не устанет удивлять»: к 220-летию со дня рождения А.С. Пушкина
Неделя культуры в Оренбуржье: Году театра посвящается
Неискушенный взгляд студентов ОГАУ: о театре и спектаклях
Юбилейная дата: 275 лет Оренбургской губернии
ЮБИЛЕЙНЫЙ ВЫПУСК ЖУРНАЛА «УНИВЕРСИТЕТСКИЙ МЕРИДИАН»
Ветеран Великой Отечественной войны – ветеран библиотеки: Нагуевская Э.И.
Участие в проектах
Участие в проектах
Периодические издания
архив
Филиалы
Адамовский с/х техникум
Бузулукский гидромелиоративный техникум
Илекский зоотехнический техникум
Покровский сельскохозяйственный колледж
Сорочинский ветеринарный техникум
Мероприятия
Информация
Научная деятельность библиотеки
Инновационная деятельность библиотеки Оренбургского ГАУ
Награды библиотеки
Личные дипломы и сертификаты
События 2022 г.
События 2021 г.
Архив событий
ЮНЕСКО
Год литературы
Год культуры
События 2020 г.
События 2019 г.
События 2018 г.
События 2017 г.
События 2016 г.
События 2015 г.
События 2014 г.
События 2013 г.
Курсы повышения квалификации для работников библиотек и методических кабинетов
Смотр-конкурс в библиотеке
Научно – практическая конференция «Библиотека ОГАУ в информационно – образовательной среде вуза»
Библиотека в неделе качества
Совет директоров библиотек филиалов
День информатора
На национальных перекрестках
Заказ литературы
Бланк заявки на традиционную литературу
Бланк заявки на электронные ресурсы
Прайс-листы
Часы работы библиотеки
Кто на сайте?
Сейчас 112 гостей онлайн
Цитаты известных людей
- Молодому книга – крылья, старому – посох.
Народная мудрость
Выпуск №3 (83) 2020 г.

Известия Оренбургского Государственного Аграрного Университета 2020 № 3 (83)

Технические науки

УДК 631.554.001.57

Методический подход к исследованию эффективности технологических подпроцессов ветро-решётной очистки зерноуборочного комбайна

А.П. Ловчиков, д-р техн. наук, профессор; А.О. Бжезовский, аспирант; С.А. Турчанинов, аспирант; О.С. Шагин, аспирант; П.Е. Бураков, соискатель

ФГБОУ ВО Южно-Уральский ГАУ

В опубликованных ранее работах [1 – 4] отмечается, что зерноуборочный комбайн можно рассматривать как сложную многопараметрическую преобразующую техническую систему, состоящую из различных технико-технологических подсистем, которые включают в себя модели отдельных подпроцессов и их взаимосвязи. В связи с этим технологический процесс зерноуборочного комбайна можно рассматривать как явление многоплановое, для которого характерны различные структуры и подпроцессы [1, 5 – 9]. Вышеизложенное можно представить на схеме (рис. 1).

Рис. 1 – Структурная схема модели технологического процесса зерноуборочного комбайна

Настоящее исследование проводили с целью обоснования методического подхода к моделированию технологического подпроцесса ветро-решётной очистки зерноуборочного комбайна. Исследование базируется на общелогическом методе и математическом анализе.

Результаты исследования. По рисунку 1 видно, что при выполнении технологического процесса преобразуются входные воздействия в виде условий функционирования Х(Тg) в выходные Y(Тg), определяющие количественно-качественные показатели работы машины: Vр(t) − рабочая скорость комбайна, м/с; Wч(t) − часовая производительность комбайна, га/ч; qуд(t) − удельный расход топлива, кг/га; Пз(t) − потери зерна; Kпз(t) − качественные показатели зерна. В зерноуборочном комбайне технологический процесс – это в основном последовательно соединённые подпроцессы, выполняемые такими техническими устройствами, как скашивание зерновых культур 1; подбор валка хлебной массы 2; обмолот хлебной массы 3; сепарация мелкого вороха 4; сепарация крупного вороха 5; измельчение и разбрасывание или валкообразование, или сбор соломы 6. На основе этого зерноуборочный комбайн можно представить в виде преобразующей технической системы (рис. 2).

Рис. 2 – Зерноуборочный комбайн как преобразующая техническая система

На рисунке 2 показано, что технологический процесс комбайна можно представить в виде модели, построенной по принципу «вход–выход». Выходные показатели функционирования технологического процесса условно можно представить как дифференциальные, так и интегральные [1, 3, 4, 5]. Дифференциальные – это выходные показатели, которые образуются в результате действия отдельных преобразующих технических подсистем, а интегральные – это те показатели, которые образуются в результате действия совокупности преобразующих технических подсистем. К ним можно отнести такие показатели, как Vp, Wч, qуд, Кпз, в частности и потери свободным зерном Пз за воздушно-решётной очисткой комбайна (рис. 3) [6 – 11].

Рис. 3 – Воздушно-решётная очистка комбайна

Воздушно-решётная очистка комбайна [9 – 11] состоит из основных рабочих органов, представленных на рисунке 4.

Рис. 4 – Воздушно-решётная очистка комбайна:

1 – скатная доска; 2 – распределительный шнек; 3 – ротор; 4 – элеватор домолачивающего устройства; 5 – решето дополнительное; 6 – верхнее решето; 7 – удлинитель; 9 – нижнее решето; 10 – недомолоченный колос; 11 – колосовой шнек; 12 – чистое зерно; 13 – зерновой шнек

Исходя из вышеизложенного преобразующую техническую подсистему ветро-решётной очистки зернового вороха зерноуборочного комбайна можно представить в виде структурной схемы, построенной по принципу «вход–выход» (рис. 5).

Рис. 5 – Структурная схема ветро-решётной очистки как преобразующей подсистемы зерноуборочного комбайна

По рисунку 5 видно, что преобразующая подсистема ветро-решётной очистки состоит из двух типов технических устройств, имеющих разное технологическое назначение. Так, подсистема 1 обеспечивает подачу воздуха и разрыхление зернового вороха, а подсистема 2 – сепарацию зерна через отверстия решёт и движение зернового вороха по сепарирующей поверхности.

Кроме того, из структурной схемы (рис. 5) следует, что входные показатели Х(Тg) образуются посредством двух преобразующих технических подсистем комбайна, это молотильный аппарат и соломотряс. В частности, Х1 – зерновая масса, которая состоит из полноценного, щуплого и дроблёного зерна, Х2 – длина измельчённой соломы, Х3 – количество половы, Х4 – соотношение стеблевой части соломы и половы в зерновом ворохе, Х5 – подача зерна соломотрясом, Х6 – подача зернового вороха на очистку с соломотряса, Х7 – пространственное расположение измельчённых стеблей соломы в потоке зернового вороха, Х8 – влажность зерна и растительной массы.

Из вышепредставленного материала следует, что зерновой ворох, поступающий на воздушно-решётную очистку зерноуборочного комбайна, можно рассматривать как смесь или сплошную среду, состоящую из зерновой массы, в которой имеются фракции полноценного, щуплого и дроблёного зерна, и полова, где содержатся фракции: чешуйки колоса, измельчённые части колоса и стебля (рис. 6).

зерновая масса чешуйки колоса части колоса и стебля

Рис. 6 – Мелкий ворох, поступающий на воздушно-решётную очистку зерноуборочного комбайна

При движении зернового вороха по решету очистки комбайна в сплошную среду или смесь дополнительно вводится технологический воздух (рис. 4), который можно рассматривать как скелет внутри сплошной среды или смеси, движущийся с определённой скоростью (рис. 7).

Рис. 7 – Зерновой ворох на воздушно-решётной очистке комбайна как многокомпонентная и многоскоростная среда

Для дальнейшего рассмотрения данного вопроса допустим, что в любой точке с заданными координатами Х, Y и Z находится несколько сред в один и тот же момент времени. При этом введём допущение, что фракции измельчённой части колоса и стебля достаточно мало, поэтому её можно объединить с чешуйками колоса и далее рассматривать как полову. Тогда зерновой ворох как смесь или сплошную среду рассматриваем из трёх компонентов: зерновая масса, полова и воздух. Причём предполагаем, что в каждой точке пространства находится несколько сред (зерновая масса, полова и воздух) со своей приведённой плотностью ρii – масса i- компоненты в единице объёма), со своими скоростями υi, ui i. Введём параметры, характеризующие смесь в целом:
(1)

где υ – скорость движения многоскоростной смеси как целого, м/с;

υi – скорость движения компонентов смеси, м/с.

Кроме приведённых плотностей ρi введём истинные плотности компонентов , т.е. их плотности при отсутствии других компонентов смеси.
Далее предположим, что в общем объёме V находится смесь, состоящая из m компонентов; пусть Vi – часть объёма V, занимаемая i-й компонентой смеси при истинной плотности . Очевидно, согласно закону сохранения массы [12 – 13], имеем:
Vi = Vρi ,

откуда (2)

Vi /V = ρi / .
Так как получаем:
(3)
Далее обозначим ji – интенсивность перехода из j-й компоненты (половы) в i-ю (зерновую массу) в единице объёма смеси в единицу времени. Очевидно, что:
ji = –  ji. (4)

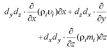
Для составления аналитического выражения для закона сохранения массы рассмотрим элементарный объём – параллелепипед со сторонами dx, dy, dz (рис. 8).

Рис. 8 – Элементарный объём зернового вороха на решете очистки комбайна как элементарный объём многоскоростной смеси

 

Очевидно, через грани, направленные соответственно осям x, y, z, перемещается в одну секунду количество i-й компоненты (зерновой массы) смеси, равное:

За счёт этого масса рассматриваемого объёма смеси уменьшается на величину Кроме того, масса i-й компоненты смеси увеличивается на величину ji dx dy dz за счёт перехода массы i-й компоненты из других компонентов. Следовательно [12], получим:
ji  = 0,

откуда, имея в виду (4), получим:

ji. (5)
Одно из m слагаемых (5), а именно ji равно нулю. Суммируя (5) по i, на основании (1) получим:

Из выражения (6) видно, что закон сохранения масс имеет место для смеси в целом.

Элементарный объём – параллелепипед со сторонами dx, dy, dz (рис. 8) – свидетельствует о том, что масса i-й компоненты, находящейся внутри элементарного объёма, равна ρi · dx dy dz. Следовательно, по закону потока импульсов, получим:

откуда

ji.

или

ji, (7)
где  – сила, действующая на i-ю компоненту, направленная вдоль оси x, приложенная к грани, направленной к оси x;

Pix – сила, действующая на единицу массы i-й компоненты вдоль оси x;

Pxji – сила, действующая вдоль оси x на i-ю компоненту со стороны j-й компоненты, приходящаяся на единицу объёма.

Очевидно, уравнение движения вдоль других осей будет иметь аналогичный вид:

ji; (8)
i ji.

Для индивидуальной производительности имеем выражение:

i . (9)

Из выражения (9) следует, что при движении по решету зерноуборочного комбайна многокомпонентной и многоскоростной смеси, которой является зерновой ворох, возможно образование динамических эффектов, возникающих из-за несовпадения скоростей отдельных фаз.

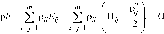
При этом удельная энергия, приходящаяся на единицу массы, Ei имеет вид:

(10)

где Пij – внутренняя энергия;

 – кинетическая энергия массы.

Рассмотрим наиболее простой случай, когда внутренняя (потенциальная) энергия П всей смеси, приходящаяся на единицу массы, и кинетическая энергия K всей смеси, приходящаяся на единицу массы, определяется равенством:

(11)

Полная энергия смеси в этом случае имеет вид:

(12)

Для анализа выражения (12), согласно [12], введём ν – диффузионные скорости, которые определяются равенством ν = υi – υ.

Подставив υij из (12) в (10), и имея в виду (12), получаем:

(13)

Из выражения (13) видно, что кинетическая энергия многокомпонентной и многоскоростной смеси определяется не только её движением как целого со скоростью υ, но и скоростями относительного движения составляющих, что также характерно и для полной энергии смеси, т.е. зернового вороха, движущегося по решету очистки зерноуборочного комбайна.

Выводы. Вышеизложенное свидетельствует о том, что зерноуборочный комбайн можно рассматривать как преобразующую техническую систему, состоящую из совокупности как технических подсистем, так и подпроцессов, к которым относятся и воздушно-решётная очистка, где подвергается технологическому воздействию зерновой ворох.

Выявлено, что зерновой ворох можно рассматривать как многокомпонентную и многоскоростную смесь, состоящую из твёрдых и воздушных сред. Установлено, что при движении зернового вороха по решету комбайна как многокомпонентной и многоскоростной смеси возможно образование динамических эффектов, возникающих из-за несовпадения скоростей отдельных фаз. При этом кинетическая энергия данной смеси, т.е. зернового вороха, определяется не только её движением как целого, но и скоростями относительного движения составляющих компонент.

Наличие скелета в виде технологического воздуха в смеси позволяет рассматривать зерновой ворох как пористую среду при моделировании техпроцессов воздушно-решётной очистки зерноуборочного комбайна.

Литература

1. Методический подход к моделированию технологического процесса зерноуборочного комбайна / А.П. Ловчиков, Е.А. Поздеев, О.С. Шагин [и др.] // Известия Оренбургского государственного аграрного университета. 2018. № 6 (74). С. 91 – 93.

2. К разработке стационарного процесса обмолота хлебной массы комбайном с классическим молотильно-сепарирующим устройством / А.И. Ряднов, А. П. Ловчиков, О.С. Шагин [и др.] // Известия Нижневолжского агроуниверситетского комплекса: наука и высшее профессиональное образование. 2019. № 2 (54). С. 314 – 322.

3. Методический подход к исследованию эффективности технологических процессов измельчения и разброса соломы зерноуборочного комбайна / А.П. Ловчиков, С.А. Турчанинов, А.О. Бжезовский [и др.] // Известия Оренбургского государственного аграрного университета. 2019. № 4 (78). С.116 – 119.

4. Ловчиков А.П., Поздеев Е.А., Шагин О.С. Взаимопроникающие движения в воздушно-соломистой смеси при функционировании ИРС зерноуборочного комбайна // Известия Оренбургского государственного аграрного университета. 2018. № 5(73). С. 152 – 154.

5. Результаты производственной проверки прямого комбайнирования с высоким срезом зерновых культур / А.П. Ловчиков, В.П. Ловчиков, Ш.С. Иксанов [и др.] // Известия Оренбургского государственного аграрного университета. 2017. № 1 (63). С. 75 – 77.

6. Ловчиков А.П. Технико-технологические  основы совершенствования зерноуборочных комбайнов с большим молотильным аппаратом. Ульяновск: Зебра, 2016. 111 с.

7. Снижение потерь и механических повреждений зерна при уборке урожая: метод. рекомендации / А.И. Завражнов, М.М. Константинов, А.П. Ловчиков [и др.] Мичуринск: МГАУ, 2012. 82 с.

8. Комбайн самоходный зерноуборочный РСМ-101 «Вектор». Инструкция по эксплуатации и техническому обслуживанию РСМ-101 ИЭ. Версия 8. Ростов-на-Дону: ООО «Комбайновый завод «РОСТСЕЛЬМАШ», 2016. 450 с.

9. Комбайн зерноуборочный самоходный РСМ-152 «ACROS-590 Plus». Инструкция по эксплуатации и техническому обслуживанию РСМ-152 ИЭ. Версия 2. Ростов-на-Дону: ООО «Комбайновый завод «РОСТСЕЛЬМАШ», 2016. 300 с.

10. Рахимов Х.Р. Газовая и волновая динамика. М.: Московский университет, 1983. 200 с.

11. Карташов. Л.П. Системный синтез технологических объектов АПК. Екатеринбург: УрОРАН, 1988. 185 с.

12. Карташов Л.П. Параметрический и структурный синтез технологических объектов на основе системного подхода и математического моделирования. Екатеринбург: УрО РАН, 2009. 225 с.

DOI 10.37670/2073-0853-2020-83-3-178-184

Аннотация

Опубликовано Известия Оренбургского Государственного Аграрного Университета 2020 № 3 (83), стр. 178-184

 
Для авторов
2025 - Год защитника Отечества

logotip2025

Экология Оренбуржья

c

Оренбуржье: события и факты

Страничка библиографа
Оформление списка

54

Локальный доступ


konsultant

РУКОВОДСТВО ПОЛЬЗОВАТЕЛЯ

Внешний электронный ресурс

elibrary5.gifРУКОВОДСТВО ПОЛЬЗОВАТЕЛЯ

200x100 1

РУКОВОДСТВО ПОЛЬЗОВАТЕЛЯ


rucont2k17

РУКОВОДСТВО ПОЛЬЗОВАТЕЛЯ


urait

РУКОВОДСТВО ПОЛЬЗОВАТЕЛЯ 


 

полпредком

 


 

1927-2

РУКОВОДСТВО ПОЛЬЗОВАТЕЛЯ

Статистика
Просмотры материалов : 1537786
Яндекс.Метрика
 
     
© 2025 Библиотека ОГАУ
Joomla! is Free Software released under the GNU General Public License.